# Laplacian 算子(拉普拉斯算子)

數學以及物理中,拉普拉斯算子或是拉普拉斯算符(英語:Laplace operator, Laplacian
)是由欧几里得空间中的一個函数的梯度散度给出的微分算子,通常写成

Δ2{\displaystyle \Delta }、{\displaystyle \nabla ^{2}}或{\displaystyle \nabla \cdot \nabla }

拉普拉斯算子是最简单的椭圆算子,并且拉普拉斯算子是霍奇理論的核心,並且是德拉姆上同調
的結果。在图像处理计算机视觉中,拉普拉斯算子已经被用于诸如斑点检测边缘检测等的各种任务。

# 坐標表示式


# 二維空間

Δf=2fx2+2fy2\Delta f = \frac{\partial^2f}{\partial x^2} + \frac{\partial^2 f}{\partial y^2}

另外極坐標的表示法為:

Δf=1rr(rfr)+1r22fθ2\Delta f = {1 \over r} {\partial \over \partial r} \left( r {\partial f \over \partial r} \right) + {1 \over r^2} {\partial^2 f \over \partial \theta^2}

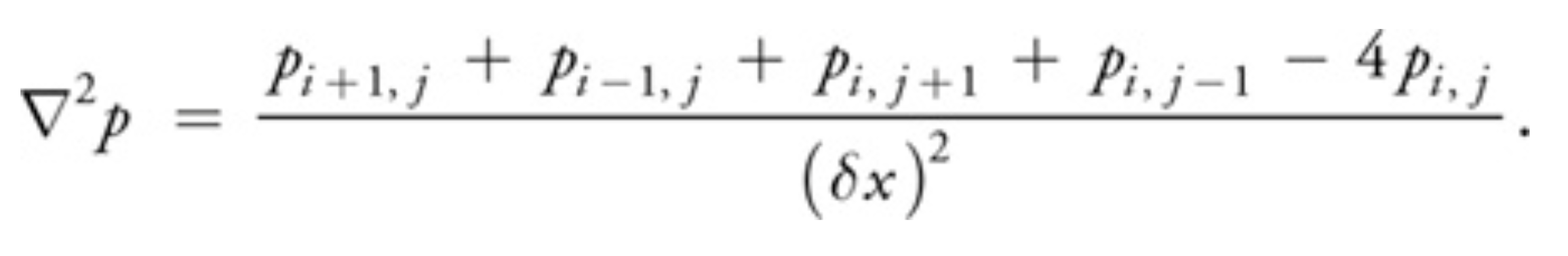
在 NS 公式里面用 jocobi 迭代解算压力是这样的

Untitled

Untitled

Niagara
1
2
3
4
5
if (FluidCellCount > 0 && CellType == FLUID_CELL)
{
JacobiPressure = (P_right + P_left + P_up + P_down - density * dx * dx * Divergence / dt + BoundaryAdd) / FluidCellCount;
Pressure = (1.f - Weight) * P_center + Weight * JacobiPressure;
}

结算压力场

Untitled

# 三維空間

** 笛卡兒坐標系 ** 下的表示法

Δf=2fx2+2fy2+2fz2.\Delta f = \frac{\partial^2 f}{\partial x^2} + \frac{\partial^2 f}{\partial y^2} + \frac{\partial^2 f}{\partial z^2}.

** 圓柱坐標系 ** 下的表示法

Δf=1ρρ(ρfρ)+1ρ22fθ2+2fz2.\Delta f = {1 \over \rho} {\partial \over \partial \rho} \left( \rho {\partial f \over \partial \rho} \right) + {1 \over \rho^2} {\partial^2 f \over \partial \theta^2} + {\partial^2 f \over \partial z^2 }.

** 球坐標系 ** 下的表示法

Δf=1r2r(r2fr)+1r2sinθθ(sinθfθ)+1r2sin2θ2fϕ2.\Delta f = {1 \over r^2} {\partial \over \partial r} \left( r^2 {\partial f \over \partial r} \right) + {1 \over r^2 \sin \theta} {\partial \over \partial \theta} \left( \sin \theta {\partial f \over \partial \theta} \right) + {1 \over r^2 \sin^2 \theta} {\partial^2 f \over \partial \phi^2}.